TRƯỜNG ĐẠI HỌC NGOẠI THƯƠNG            ĐỀ THI TUYỂN SINH CAO HỌC NĂM 2012 (ĐỢT 2)

HỘI ĐỒNG TUYỂN SINH SAU ĐẠI HỌC                                   Môn thi: Toán kinh tế

                                                                                               Thời gian làm bài: 180 phút

___________________________________________________________________________________

Câu 1 (2 điểm). Một doanh nghiệp có hàm cầu sản xuất: Q = 80K32L34  (K > 0, L > 0). Trong đó Q  ̵  sản lượng, K  ̵  vốn, L  ̵  lao động.

  1. Tìm các hệ số co giãn riêng của Q theo K, theo L.
  2. Với hàm sản xuất trên, khi tăng quy mô sản xuất thì hiệu quả thay đổi như thế nào?
  3. Hàm số trên có thỏa mãn quy luật lợi ích cận biên giảm dần hay không?
  4. Vốn và lao động là hai hàng hóa thay thế hay bổ sung cho nhau?

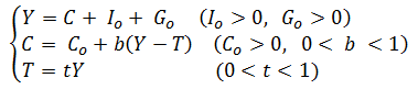
Câu 2 (2 điểm). Cho mô hình

Trong đó: Y ̵  thu nhập, C ̵  tiêu dùng, T ̵  thuế, Io  ̵  đầu tư, Go  ̵  chi tiêu chính phủ, t ̵  thuế xuất.

  1. Xác định thu nhập quốc dân và tiêu dùng cân bằng.
  2. Khi các tham số khác không đổi, Go  tăng 1 đơn vị, Co  giảm 2 đơn vị và Io  tăng lên 1 đơn vị thì thu nhập quốc dân cân bằng thay đổi như thế nào? 
  3. Cho biết: Co  = 2000; b = 0,8; t = 0,2; Io  = 700; Go  = 900. Tăng Go  lên 2% thì thu nhập quốc dân cân bằng thay đổi như thế nào?

 

Câu 3 (1 điểm). Cho hàm lợi ích người tiêu dùng: U = 100x0,25y0,6  (x > 0, y > 0). Trong đó x là số đơn vị hàng hóa 1, y là số đơn vị hàng hóa 2. Giả sử giá hàng hóa 1 là 5 USD, giá hàng hóa 2 là 8 USD và thu nhập dành cho tiêu dùng là 680 USD. Xác định số đơn vị các hàng hóa để lợi ích người tiêu dùng tối đa.

 

Câu 4 (2 điểm). Cho mẫu ngẫu nhiên W = (X1 , X2 ,…, Xn ) lập từ tổng thể có biến ngẫu nhiên X ~ N(μ, σ2 ) và có trung bình mẫu X . Chứng minh:

  1. X  là ước lượng không chệch của μ.
  2. X  là ước lượng hiệu quả nhất của μ.

Câu 5 (2 điểm). Giả thiết chi tiêu hàng năm của công nhân ở một công ty là biến ngẫu nhiên có phân phối chuẩn. Điều tra ngẫu nhiên chi tiêu hàng năm của 100 công nhân ở một công ty thu được số liệu sau:

 

Chi tiêu (triệu đồng/năm)

15,6

16,0

16,4

16,8

17,2

17,6

18,0

Số công nhân

  10

  14

  26

  28

  12

   8

   2

 
  1. Với độ tin cậy 95%, hãy ước lượng số công nhân có chỉ tiêu hàng năm dưới 16 triệu đồng, biết công ty có 1000 công nhân.
  2. Nếu năm trước chỉ tiêu trung bình của mỗi công nhân là 16 triệu đồng/năm thì với mức ý nghĩa 5% có thể nói chỉ tiêu trung bình của mỗi công nhân năm nay cao hơn năm trước hay không?

 

Câu 6 (1 điểm). Giả thiết đường kính của một sản phẩm của một dây chuyền sản xuất là biến ngẫu nhiên có phân phối chuẩn. Đo đường kính của 12 sản phẩm của dây chuyền đó, tính được s = 0,3 mm. Biết rằng nếu độ biến động của các sản phẩm lớn hơn 0,2 mm thì dây chuyền sản xuất phải dừng lại để điều chỉnh. Với mức ý nghĩa α = 5%, dây chuyền có cần phải dừng lại để điều chỉnh hay không?

Cho biết: t0,05(99)  = 1,660; t0,025(99)  = 1,984; χ0,052(11)  = 19,675; P(U > 1,96) = 0,025;

_________________________________________________________________________________

Cán bộ coi thi không giải thích gì thêm!          SBD:…………Họ và tên:……………………………

 

Tham khảo thêm: Học viên Ngoại thương chia sẻ kinh nghiệm ôn thi cao học