HỌC VIỆN NGÂN HÀNG                               ĐỀ THI TUYỂN SINH CAO HỌC

HỘI ĐỒNG TUYỂN SINH SAU ĐẠI HỌC 2017                MÔN THI: TOÁN KINH TẾ

                                                                                                    Thời gian làm bài: 180 phút

                                                                                                                      Đề số 2

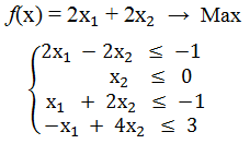
Câu 1 (1,5 điểm). Cho bài toán qui hoạch tuyến tính:

 

Hãy cho biết Véc tơ x = (-7/9; 1/9) có phải là phương án cực biên, phương án tối ưu không?

Câu 2 (2,5 điểm). Cho bài toán quy hoạch tuyến tính:

  1. Giải bài toán bằng phương pháp đơn hình.
  2. Tìm phương án tối ưu có thành phần x3 = 6.

 

Câu 3 (2 điểm). Trong kho có sản phẩm của nhà máy A và B với số lượng bằng nhau. Tỷ lệ chính phẩm của nhà máy A và B lần lượt là 80% và 75%.  Lấy ngẫu nhiên 1 sản phẩm từ kho.

  1. Tính xác suất lấy được chính phẩm.
  2. Giả sử lấy được chính phẩm. Tính xác suất để sản phẩm này do nhà máy A sản xuất.

 

Câu 4 (2 điểm).

  1. Điều tra 200 hộ tại vùng A thấy có 12 hộ nghèo. Với độ tin cậy 95%, hãy ước lượng số hộ nghèo trong vùng A, biết rằng vùng A có 5000 hộ.
  2. Điều tra 200 hộ tại vùng B có tỷ lệ hộ nghèo là 8%. Với mức ý nghĩa 5%, có thể cho rằng tỷ lệ hộ nghèo của 2 vùng là như nhau hay không?

 

Câu 5 (2 điểm). Để đánh giá mức độ hài lòng về một loại sản phẩm mới, doanh nghiệp tiến hành khảo sát ngẫu nhiên 100 người dân và thu được điểm số trung bình là 4,59 và độ lệch chuẩn là 1,7355.

  1. Với độ tin cậy 95%, hãy ước lượng điểm số trung bình về mức độ hài lòng do người dân đánh giá.
  2. Khảo sát mức độ hài lòng của 100 người dân vào năm ngoái, kết quả cho thấy điểm số trung bình là 4,2 và phương sai là 5. Với mức ý nghĩa 5%, có thể cho rằng điểm số trung bình năm nay của người dân đánh giá cao hơn so với năm ngoái hay không?

Giả thiết điểm số đánh giá của người dân là biến ngẫu nhiên phân phối chuẩn.

Cho biết: u0,05 = 1,645; u0,025 = 1,96.

Thí sinh làm tròn kết quả đến 4 chữ số thập phân.

Ghi chú: Cán bộ coi thi không được giải thích gì thêm.

 

Nên xem: Làm thế nào đạt Điểm 10 môn Quy hoạch Tuyến tính?